在许多实验情境中,当Y值较高时,您通常会预期数据点到曲线的平均距离(或者更准确地说,距离的平均绝对值)会更大。 换言之,当Y值较高时,残差(数据点与曲线的距离)的标准差会变大 - 即标准差与Y值成正比。再换一种说法,即您期望变异系数保持恒定,但标准差并非恒定。
如果残差的标准差与 Y 的值相关,那么 Y 值较大的点往往会离曲线更远(残差更大)。因此,这些点对平方和的贡献更大,从而主导了计算结果。
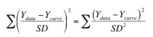
解决之道并非最小化平方和,而是最小化加权平方和。换言之,即最小化数据点Y值(Ydata)与曲线Y值(Ycurve)之间的相对距离。当选择相对加权时,非线性回归将最小化以下量:

左侧部分最易理解。对于每个数据点,计算其与曲线的距离(在Y方向上),将该值除以曲线的Y值,再将该比值平方。 将所有点的该平方比值相加。右侧等价于此。它分别对分子和分母求平方,然后计算这两个平方值的比值。这是大多数数学统计学家对加权问题的思考方式,因此相对加权也被称为按 Y² 加权。
1/Y加权是最小化实际距离平方与最小化相对距离平方之间的折中方案。1/Y加权适用的情况之一是当Y值服从泊松分布时。例如,当Y值为放射性计数,且大部分离散主要源于计数误差时,即属于这种情况。在泊松分布中,一个值的标准误差等于该值的平方根。 因此,需将数据点与曲线的距离除以该值的平方根,再对结果进行平方。下式展示了Prism所最小化的量,并说明了为何称为1/Y加权(但Prism实际上是根据Y的绝对值进行加权)。

下方的前三个方程展示了绝对加权、泊松加权和相对加权之间的关系。请注意,任何数幂为零的结果均为 1.0,因此左侧方程的分母始终等于 1.0。
右侧方程展示了通用加权。您可以输入 K 值,从而根据数据特性定制加权方案。通常,K 值应选在 1.0 到 2.0 之间。下文参考文献 1 采用了这种方法。
如果您希望通过实验确定 K 的最佳值,可以按以下步骤操作:
1.在曲线沿线的多个点上收集大量(超过十组;可能达数十组)重复测量数据。
2.按常规方法绘制数据,以确保数据看起来正确。
3.绘制第二张图,忽略 X 值(时间或浓度等)。在这张新图中,X 取自第一张图中每个数据点的 Y 值均值的对数,而 Y 则取自各重复值之间方差(即标准差的平方)的对数。 您可以使用自然对数或以10为底的对数。只要两种对数使用相同的底数,具体选择哪种都无妨。
4.使用线性回归对该图拟合一条直线。由于该直线周围存在高斯分布的假设存疑,请使用非线性回归并选择稳健拟合。
5.该回归直线的斜率为 K。若 K 接近 0.0,则标准差与 Y 无关,因此无需加权;若 K 接近 2.0,则标准差与 Y 成正比,此时应采用相对加权;若 K 接近 1.0,则选择泊松加权;若 K 取其他值,请使用一般加权,并将该 K 值作为常数输入。
请注意,若 Ycurve 为负值,Prism 实际上会将 Ycurve 的绝对值提升至 K 次方。
选择按 1/X 或 1/X² 加权时,图表左侧的数据点权重将高于右侧。在某些领域对生物测定数据拟合直线时,这种做法很常见。
Prism 还提供按标准差平方倒数进行加权的选项。该选项旨在最小化以下项:

当您已将数据表格式化以便输入标准差(SD)值,但随后输入的是基于对实验系统中散布(或误差)成因的理解而在其他地方计算出的数值时,此方法最为有用。您输入的“SD”值应为经过加权计算的因子,而非数据的实际标准差。
如果您在“SD”子列中输入实际标准差,或输入重复组数据让 Prism 计算标准差,那么 Prism 将使用这些实际标准差值作为权重因子。这远不如听起来那么有用。在样本量较小到中等的情况下,标准差会因随机因素而大幅波动,因此不适合将这些随机标准差值用于加权。加权应基于预测标准差而非实际标准差(后者受随机因素影响)。
当然,如果输入的任何标准差值为零,则无法进行基于标准差的加权。此外,如果 Prism 需根据重复测量计算标准差,但仅有一个重复测量,或者所有重复测量结果完全相同(即其标准差等于零),同样无法进行加权。
有一种情况,根据曲线的预测 Y 值进行加权会引发问题 - 即初始值非常糟糕。初始曲线可能与数据点相距甚远,在某些情况下,某些 X 值对应的 Y 值可能为 0,这使得无法使用 1/Y 或 1/Y² 进行加权。 为改善拟合效果,即使初始值生成的曲线与数据相距甚远,Prism 在首次迭代中也不会使用权重。此次迭代将使曲线更接近数据点。此后,Prism 将采用您指定的加权函数。本质上,它将一次无权重拟合的结果作为加权拟合的初始值。
1. LM Lavasseur, H Faessel, HK SLocum, and WR Greco, 体外抗增殖试验的统计特征对临床药效学研究的启示, 《药代动力学与药效学杂志》, 26: 717-733, 1998.